Přejít na obsah stránky
Seznam klávesových zkratek, prohlášení o přístupnosti
Hlavní stránka webu
Mapa stránek
Přejít na vyhledávání
Seznam klávesových zkratek, prohlášení o přístupnosti
Hlavní stránka webu
Mapa stránek
Přejít na vyhledávání
menu
Vyhledat
- Úvod
- Kontakty
- Projekty
- Akce školy
- Pro zájemce
- O škole
- Pro studenty
- Maturitní obory
- Učební obory
Vyhledávání
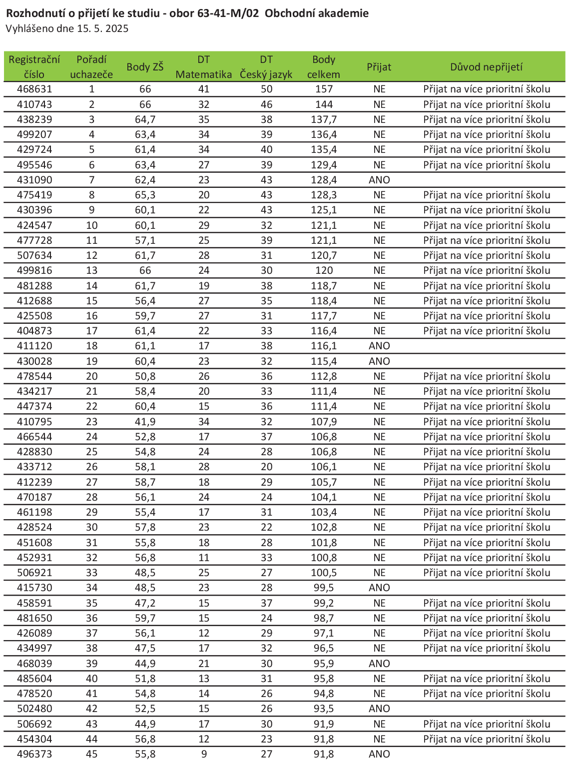
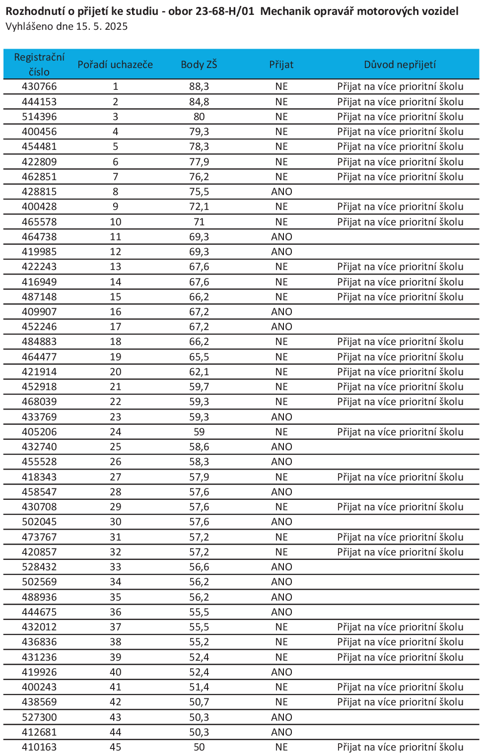
Zavřít vyhledáváníVýsledky přijímacího řízení pro školní rok 2025/2026



















Vrchlického 567, 379 01 Třeboň
sekretariát: 389 822 150
ředitel: 389 822 153
info@sostrebon.cz
úřední hodiny každý den od 8 do 14 hodin
© OA, SOŠ a SOU Třeboň 2020, Webdesign inoWeb, tvorba webových stránek na zakázku
△